Ћирилица Latinica
20.01.2026.
Политика

Лековић о карипском аранжману Аца Мијајловића: Милиони, пасоши и политика

Аутор: Редакција 1 Оставите коментар

Посланик Демократа Момчило Лековић указао је на, како наводи, веома симптоматичан и временски пажљиво позициониран пословни аранжман компаније "БЕМАКС ЛЛЦ" из Уједињених Арапских Емирата, којом руководи Александар Мијајловић, а који је закључен свега три дана након избора 44. Владе Црне Горе.

Лековић подсјећа да је 3. новембра 2023. године "БЕМАКС" потписао уговор са Владом Свете Луције о изградњи стамбено-пословног комплекса у главном граду те карипске државе, на локацији бивше школе у Кастрису.

„Сам тајминг овог посла, непосредно након политичких промјена у Црној Гори, отвара озбиљно питање да ли је ријеч искључиво о инвестицији или и о пажљиво осмишљеном плану Б у условима повећаног политичког и правосудног ризика“, наводи Лековић.

Према уговору, "БЕМАКС" се обавезао да изгради 66 станова, 14 пословних јединица и пратећи рекреативни простор, при чему се пројекат не финансира класичном продајом некретнина, већ кроз програм економског држављанства – Citizenship by Investment (CIP).

Лековић истиче да се, у овом моделу, повраћај инвестиције остварује искључиво путем најмање 628 успјешних CIP апликација, при чему појединачна апликација износи 100.000 долара, односно 150.000 долара за породичне апликације.

„Реални прилив средстава за овај пројекат креће се између 78 и скоро 90 милиона долара, што, након одбитка трошкова градње, управљања, маркетинга и провизија, оставља потенцијалну добит од 30 до чак 50 милиона долара. Ријеч је, дакле, о једном од најпрофитабилнијих послова које је "БЕМАКС" икада реализовао, уз минималан тржишни ризик“, наглашава он.

Међутим, како додаје, финансијска добит није једина вриједност оваквих аранжмана. CIP програми, према његовим ријечима, годинама се користе као механизам личне, породичне и политичке сигурности.

„Нови пасош не брише кривичну одговорност, али омогућава алтернативну јурисдикцију, већу мобилност и могућност изношења капитала и породице из земље у којој расте политички или правосудни притисак“, указује Лековић.

Он подсјећа да пасош Свете Луције омогућава безвизни режим путовања у више од 130 земаља, укључујући Кину и Русију, као и укључивање чланова уже породице у процес добијања држављанства.

Додатну тежину читавом случају, како истиче, даје и чињеница да је Мијајловић у међувремену ухапшен у Црној Гори и да је јавно признао да је финансирао поједине опозиционе партије и медије, тврдећи да је жртва политичког прогона.

Иако се држављанство формално додјељује након безбједносних и финансијских провјера, Лековић наглашава да у CIP моделу кључну улогу има управо инвеститор, који контролише избор агената, ток апликација и промоцију пројекта.

„Зато је легитимно питање да ли је овај пројекат био само машина за зараду или и механизам за обезбјеђивање другог држављанства људима из Мијајловићевог пословно-политичког круга“, наводи он.

Посебно осјетљивим сматра питање потенцијалних веза са црногорском политичком елитом.

„Да ли је карипски пројекат служио као дискретни канал за ‘осигурање’ пријатеља, сарадника и политичких савезника – питање је на које јавност и даље нема одговор, али које, с обзиром на конструкцију посла, не може бити олако одбачено“, истиче Лековић.

Он закључује да је и сам Мијајловић својим јавним наступима отворио додатна питања: које је медије и које опозиционе партије финансирао, у ком обиму и да ли је новац који је циркулисао кроз политичку и медијску сцену Црне Горе повезан са истим међународним токовима капитала који воде до Кариба.

„Овај уговор разоткрива модел у којем се спајају огроман профит, држављанства, политички утицај и пажљиво одабран тајминг. Кључно питање више није шта пише у уговору, већ ко је кроз њега требало да прође“, закључује Лековић.

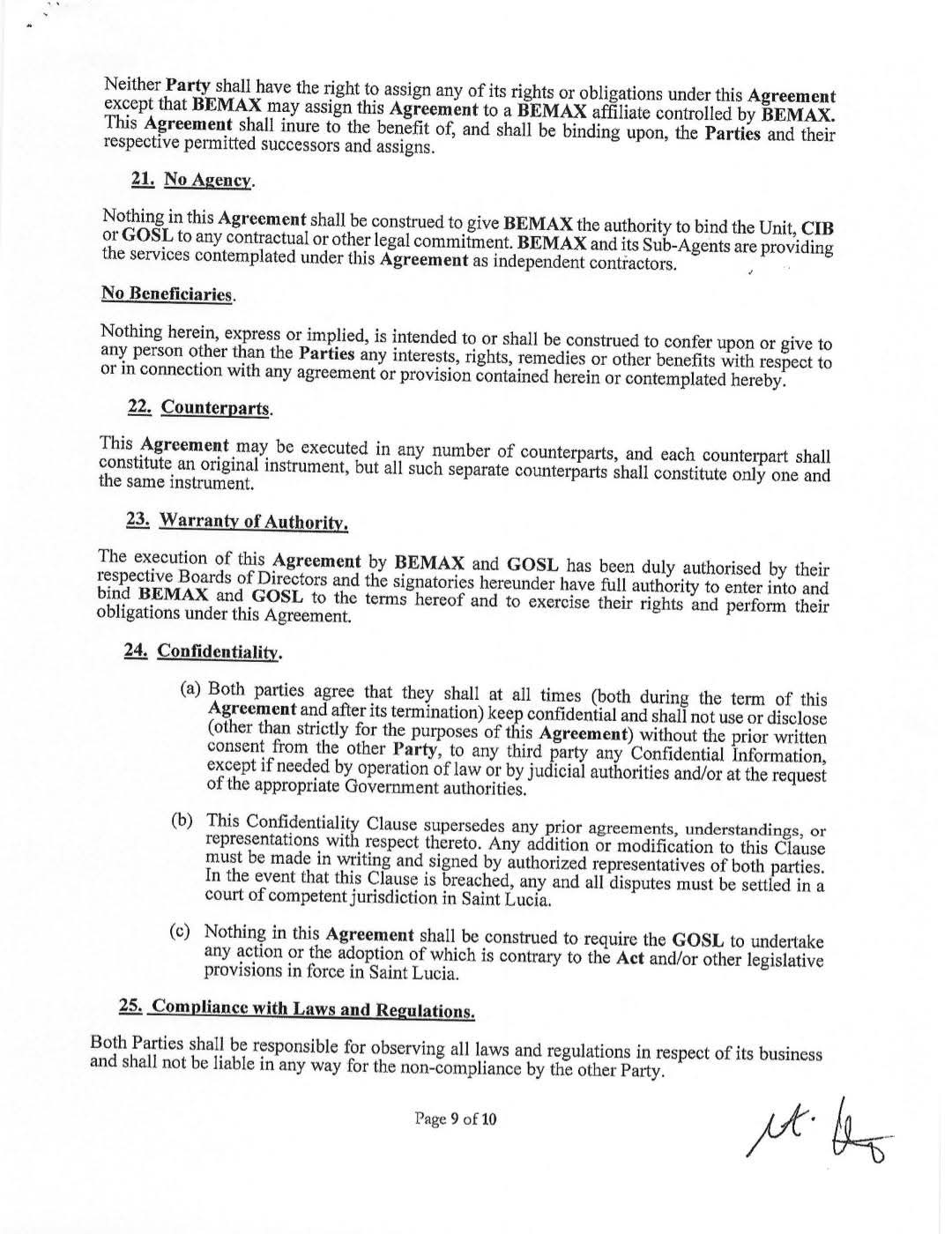
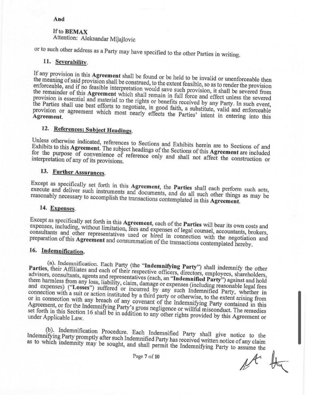
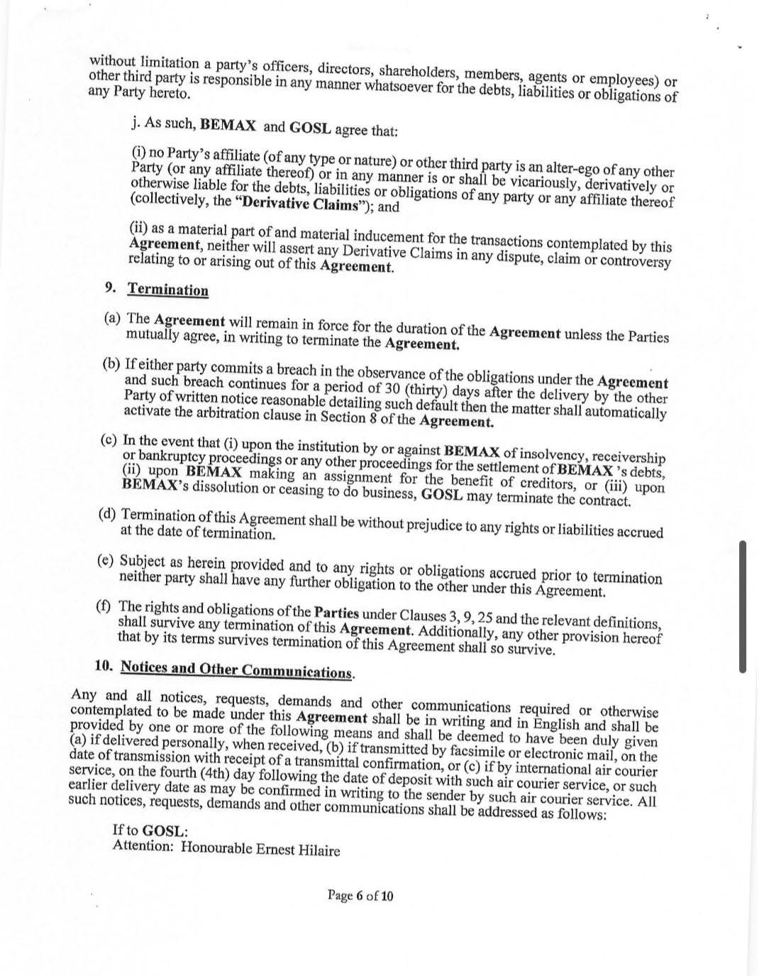
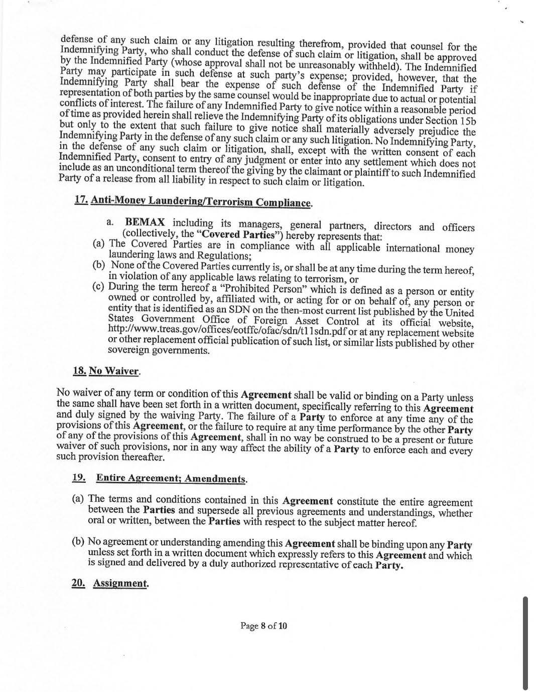
Документ

Коментари
Tolo
Tolo: to su te Cg patriote koji oduzimaju državljanstva Crnogorcima koji steknu druga a oni milione pokraše! Naša država hitno da promijeni taj nakaradni zakon i dozvoli našoj djeci koja žive u inustranstvu naše državljansto
20.01.2026 12:41
Оставите коментар
Име / надимак:
Коментар:
Latinična verzija
Пишите нам
Редакција:
barskiportal@gmail.com

Подијелите садржај на:
Izdavač:
Srpska narodna čitaonica - Bar